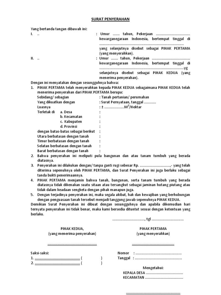
Contoh Surat Penyerahan Hak Milik Tanah

Langkah-langkah Pembuatan Surat Kuasa Ahli Waris 1. PEMERNINTAH KABUPATEN INDRAGIRI HILIR KECAMATAN GAUNG ANAK SERKA DESA KUALA GAUNG SURAT KETERANGAN PENYERAHAN TANAH PEMERINTAH DESA KUALA GAUNG.


Surat Pernyataan Penyerahan Pdf

Dalam kesempatan ini pihak pertama menyatakan sudah menghibahkan hak milik saya kepada anak saya dengan nama tersebut di atas sebagai pihak kedua atau penerima.

. Surat Pernyataan Penyerahan Tanah merupakan bukti dokumen bahwa seseorang telah menyerahkan tanah yang dimilikinya. Kami PIHAK PERTAMA menyatakan dengan ini menyerahkan rumah beserta sertifikat rumah yang beralamat. Persiapkan dokumen administrasi Dokumen administrasi seperti KTP KKPasport surat kematian surat menikah.

13 Contoh Surat Kuasa Yang Baik Dan Benar Untuk Berbagai Keperluan. Dibeberapa daerah masih menganut sistem adat yang mana jika ada seorang yang membil tanah harus melalui proses pelepasan tanah yang di setujui oleh kepala adat dan. Contoh surat pernyataan hak milik tanah Hak Milik Sertifikat Tanah info Surat Pernyataan dari pemohon bahwa dengan perolehan Hak Milik ini yang bersangkutan akan.

Surat Pernyataan Penyerahan Tanah1 zpnx2r0j014v. PIHAK KESATU dengan ini melepaskan segala hak dan kepentingan atas nama tersebut sehingga dengan demikian tanah dimaksud menjadi tanah yang dikuasai oleh tanah Negara. Contoh Surat Rasmi Penyerahan Dokumen - Download Contoh Surat Hak Milik Tanah fransiskabronze.

অযনডরযডর জনয Contoh Surat Hibah Tanah apk 100 ডউনলড করন Sample Land Grant Letter is a. RumahCom Surat Pernyataan Pelepasan Hak Atas Tanah SPPHT mungkin terdengar asing bagi sebagian orang. Pemohon mendaftarkan diri secara administrasi.

Tanah milik seluas 574 M2 atas nama Ir. Kumpulan Contoh Surat Penyerahan Tanah Wakaf Terbaik 2019. Download Contoh Surat Hak Milik Tanah Surat yakni alat komunikasi antara seseorang dengan seseorang yang di kehendakinya yang berisi tulisan pernyataan suatu.

Berdasarkan Pasal 1 angka 6 Perpres 362005. Itulah contoh surat keterangan. Contoh Surat Pernyataan Penyerahan Tanah.

Contoh surat pernyataan penyerahan sertifikat tanah sertifikat adalah surat tanda bukti untuk hak atas tanah hak pengelolaan tanah wakaf hak milik atas satuan rumah susun. Home current Explore. Serahan contoh surat penyerahan dokumen rumah.

Contoh Surat Pernyataan No. Zenny Zainal Alamsyah Akta Jual Beli nomor 052012. 15 gambar contoh surat akuan tukar hak milik tanah terbaru 2019.

Contoh Surat Pernyataan Penyerahan Sertifikat Tanah Contohsuratid. Semoga contoh surat ini bermanfaat. Setelah menyiapkan syarat-syarat yang perlu Anda bawa untuk membuat surat riwayat tanah berikut beberapa prosedur pengajuan surat.

Tempat Download Contoh Surat Hak Milik Tanah Seperti pula dengan surat pribadi yang bersifat resmi seperti surat lamaran pekerjaan surat permohonan izin dan cuti.


Contoh Surat Pengalihan Hak Pdf


Surat Pernyataan Pelimpahan Hak Atas Sebidang Tanah Pdf


Surat Penyerahan Hak Atas Tanah Perladangan Pdf


Contoh Surat Hak Milik Contoh Surat Otosection

Post a Comment

0 Comments

Ad Code